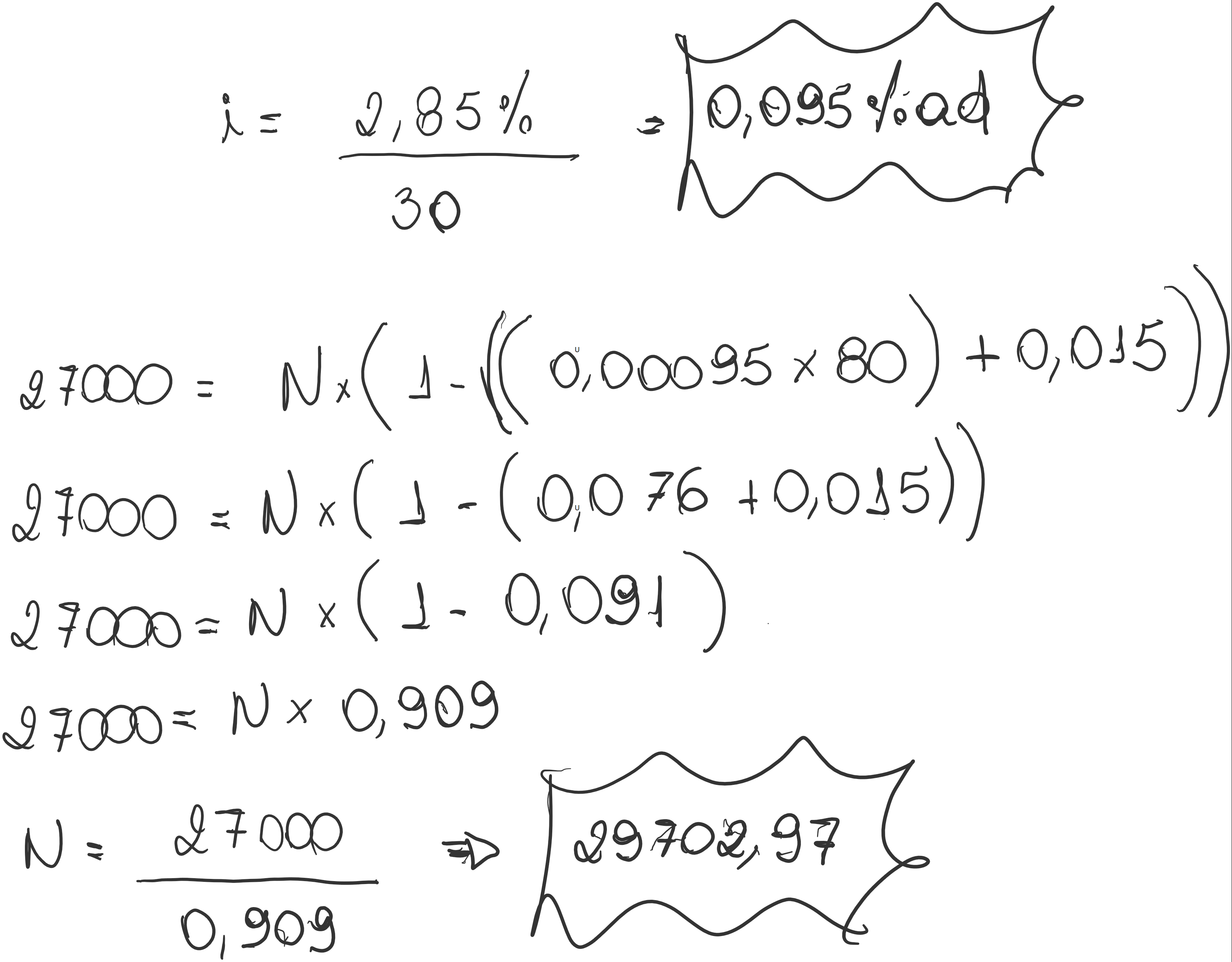
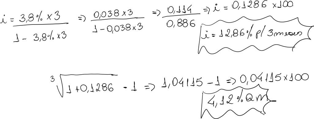
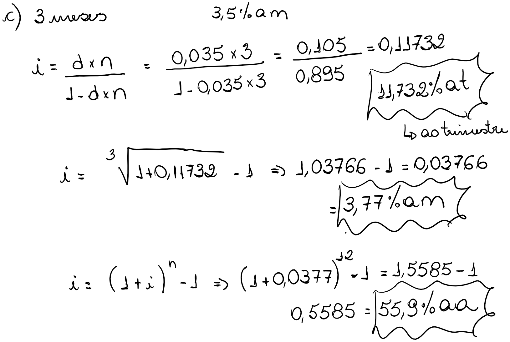
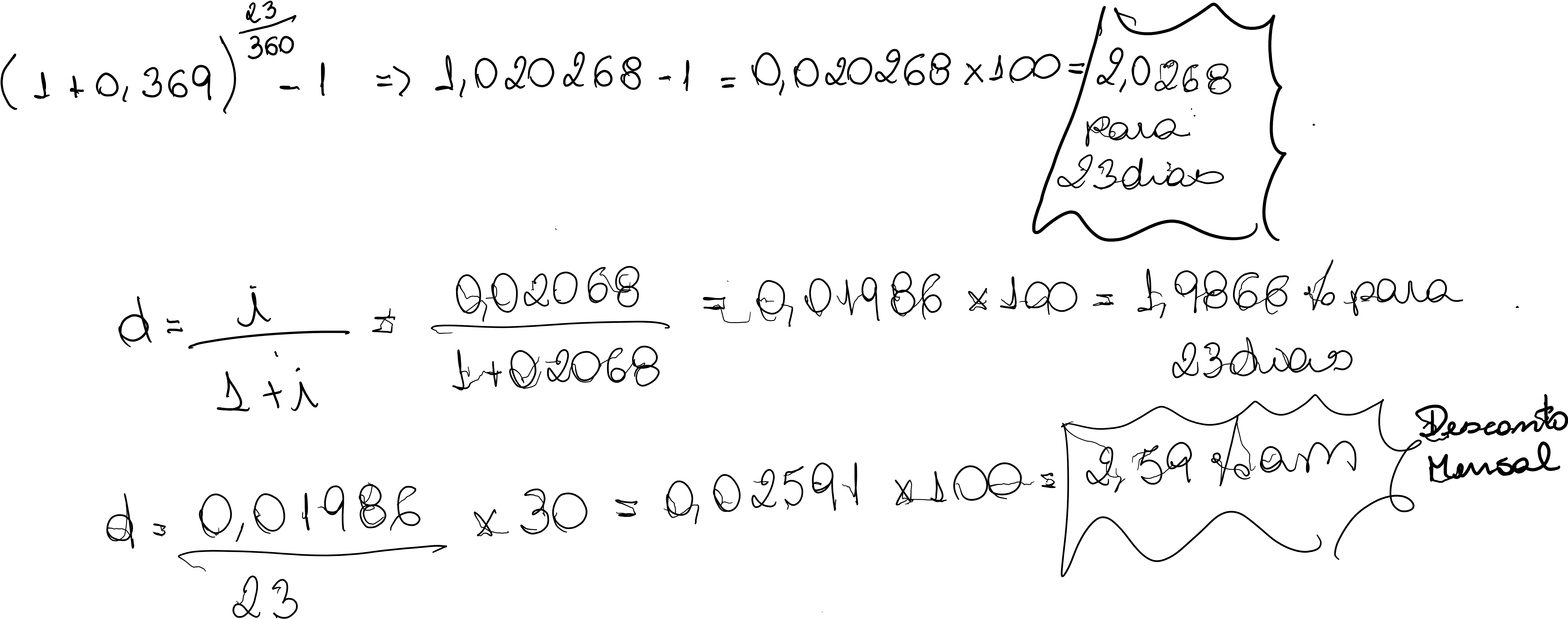
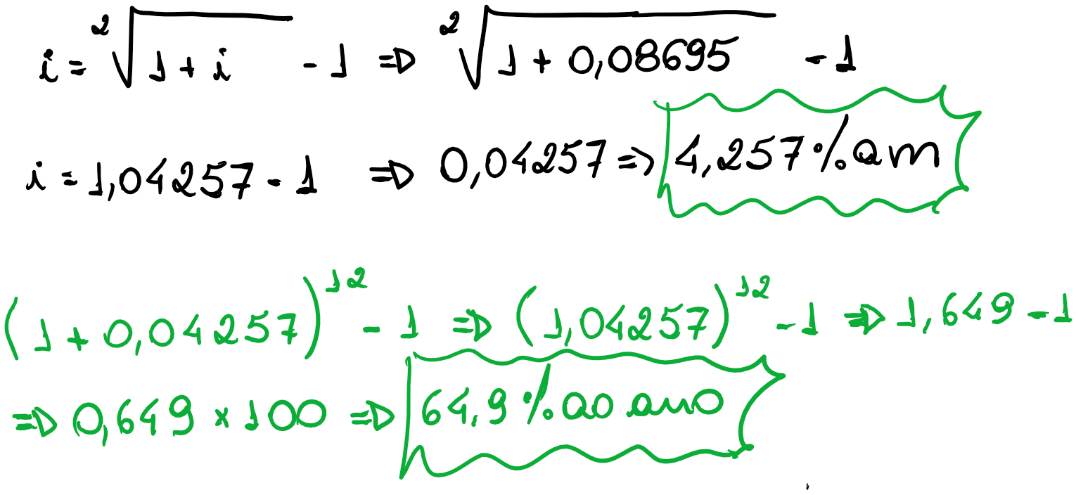
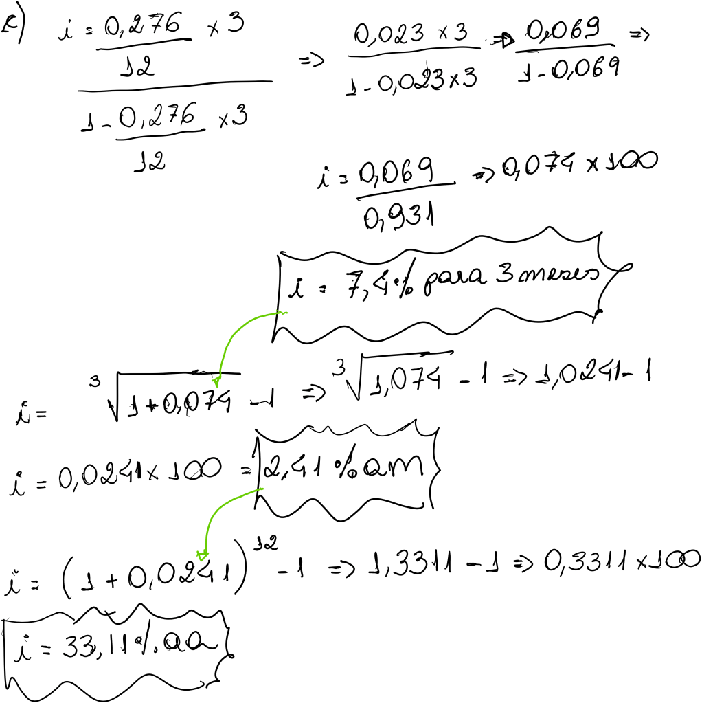
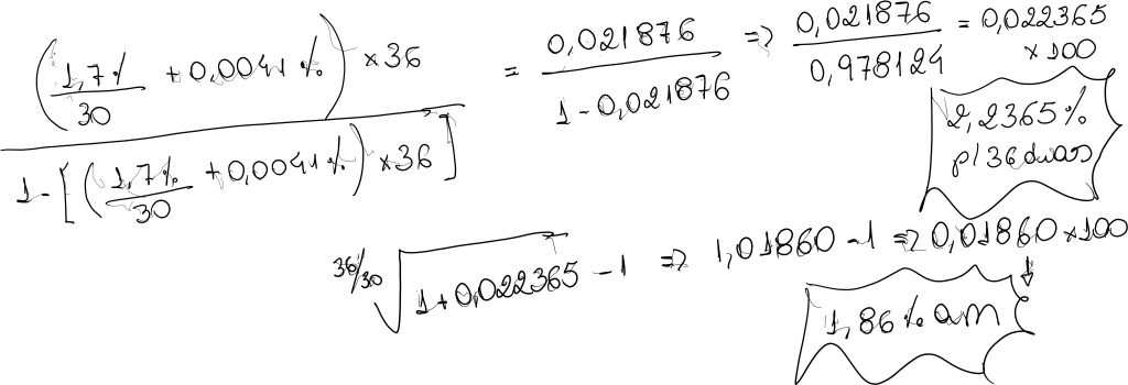
Admita que um banco esteja cobrando 2,4% a.m. para conta garantida de 30 dias. No entanto, a taxa que efetivamente o banco deseja cobrar nesta operação é de 3,5% a.m. Calcular o valor da taxa de abertura de crédito que deve ser fixada, de maneira que o custo efetivo da conta garantida atinja os 3,5% a.m desejados.
A taxa de abertura de crédito, também conhecida como TAC, foi extinta e não é mais cobrada pelos bancos do Brasil.
“É um serviço prestado ao próprio banco. Serve para minimizar o risco do banco, e o custo não pode ser repassado ao consumidor.” diz Leonardo Vinicius de Oliveira, advogado especializado em direito do consumidor. Como o livro deste exercício foi editado em 2006, esta taxa estava em vigor e logo após dois anos, foi-se extinta por determinação do Banco Central em 30 de abril de 2008.
Se ela está extinta, então por que é importante saber calcular?
Se qualquer taxa vindo de uma instituição/empresa que incidir em cima do valor no momento da assinatura de um contrato e que envolva custo efetivo da operação, o raciocínio será o mesmo. Só não terá o nome de TAC mas terá outro nome.
O exercício aborda a situação em que é necessário calcular a taxa de abertura de crédito para saber o quanto que o banco cobraria/deduziria do cliente do valor depositado buscando obter um retorno de 3,5% que corresponde a uma taxa superior à 2,4% que a conta praticava.
O que dificulta no exercício é que não foi informado os valores que o cliente supostamente adquiriu no banco e nem o valor que o banco deduziu do cliente. Somente foi informado as taxas. Assim, o calculo foi totalmente baseado nas taxas informadas.
Depois que a TAC foi encontrada e você tem as proporções de cada ponto do calculo, você pode simular qualquer situação em que supostamente o cliente realizou com o banco. Por exemplo:
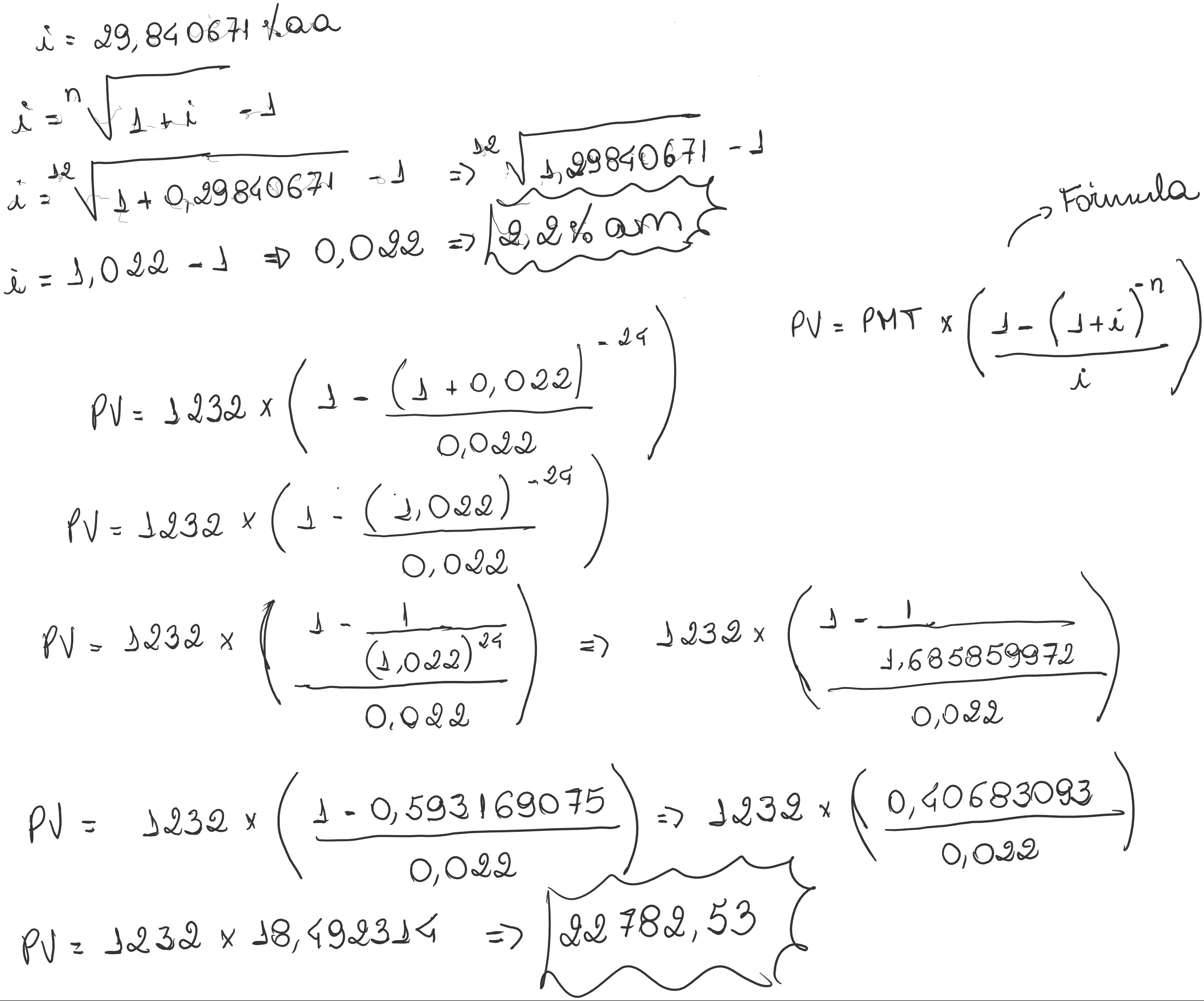
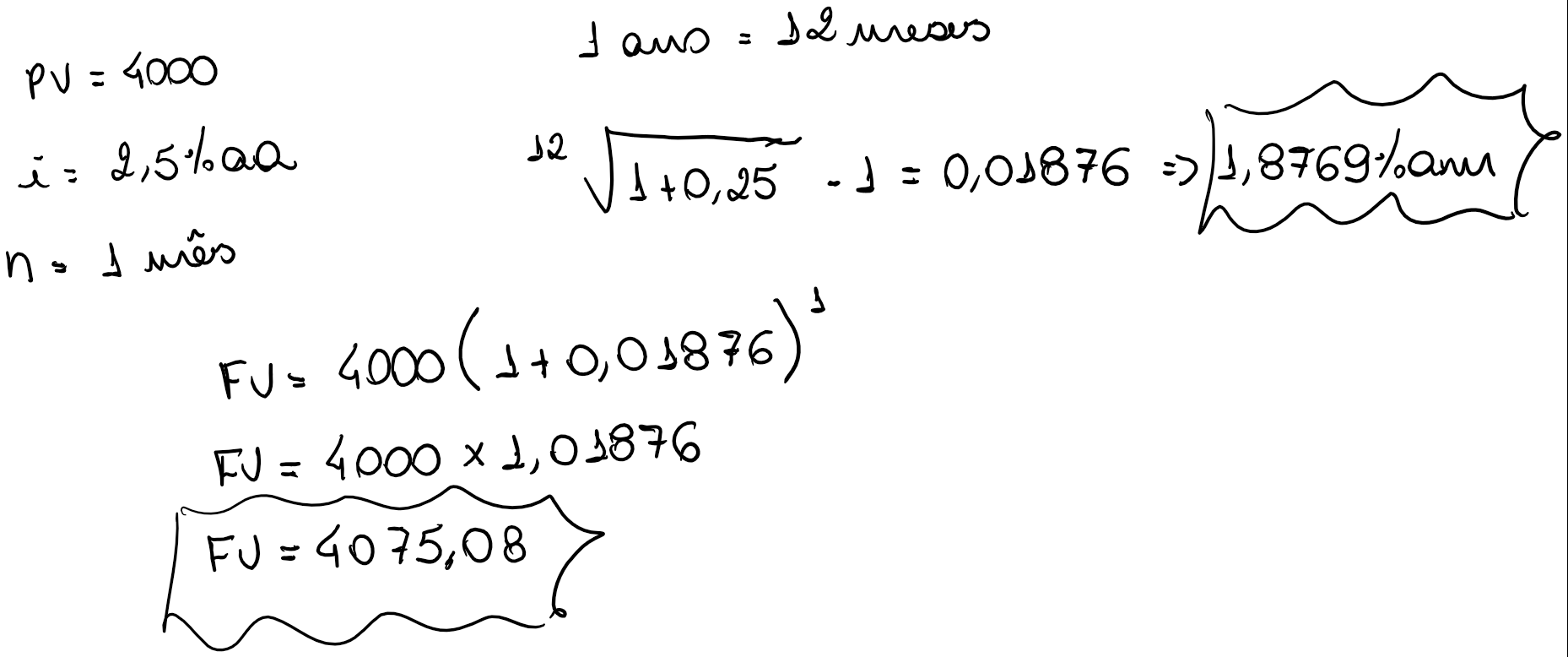
Admita que o cliente está assinando um contrato de empréstimo de R$10.000,00 com um banco.
Então ficaria:
Limite da Conta: R$10.000,00
TAC: R$10.0000 x 1,063% = R$106,3 – (O banco resgatou para os fins que o advogado Oliveira citou acima)
Credito Liberado para o Cliente = R$10.000,00 – R$106,3 = R$9.893,70
A operação considerando a taxa de 2,4% a.m representaria um juros de:
R$10.000,00 x 1,024 = R$10.240,00 (Montante) – Juros de R$240,00 (Valor que o banco ganhará em cima do seu financiamento/contrato)
Com todos estes valores é possível buscar o custo efetivo desta operação. Lembre-se que o banco já sabe o valor da TAC pois ele já fez o calculo para obter o custo efetivo de 3,5%a.m que deseja. Mas no momento em que você está assinando o contrato você estará achando que a taxa continuará sendo de 2,4% a.m. e na realidade não será.
Custo efetivo = (10.240,00/9893,70)-1
Custo efetivo = 1,035-1 = 0,035*100 = 3,5% a.m
A operação considerando a taxa de 3,5% a.m representaria um juros de:
R$10.000,00 x 1,035 = R$10.350,00 (Montante) – Juros de R$350,00 (Valor que o banco ganhará em cima do seu financiamento/contrato)
O banco faturará neste exemplo através desta nova operação, a quantia de R$110,00 a mais comparados com o investimento anterior (R$ 350,00 – R$ 240,00). Além de ter cobrado R$106,3 da TAC. No final, o banco ficará com a quantia total de 350,00 + 106,30 = R$456,30
Perceba que uma simples jogada de cobrar a TAC abatendo do valor do empréstimo, significa um aumento da quantia que o banco receberá no futuro. A TAC foi fundamental para que a operação chegasse na taxa que o banco queria. Imagino que esta operação podia ser muito comum na época quando o cliente migrava o financiamente/emprestimo de um banco para o outro.
Poderia haver situações em que o credor poderia oferecer uma taxa menor para atrair o cliente e aplicar uma taxa TAC que correspondia uma custo efetivo maior ou até mesmo igual prejudicando toda a sua condição ou iludindo o cliente.
Imagina se o contrato de financiamente/empréstimo for de uma empresa envolvendo milhões de reais. Uma operação dessas pode ser bastante rentável para o credor.
Eu te ajudei? Faça uma doação única para ajudar no meu trabalho.
Escolha um valor
Ou insira uma quantia personalizada
Obrigado pela sua contribuição.
Faça uma doação
Referência:
G1. Taxa de abertura de crédito acaba dia 30, mas não deve baratear financiamento.
Disponível em:
http://g1.globo.com/Noticias/Economia_Negocios/0,,MUL400747-9356,00-TAXA+DE+ABERTURA+DE+CREDITO+ACABA+DIA+MAS+NAO+DEVE+BARATEAR+FINANCIAMENTO.html. Acesso em:19 de abr. 2008